Category
CAS Number
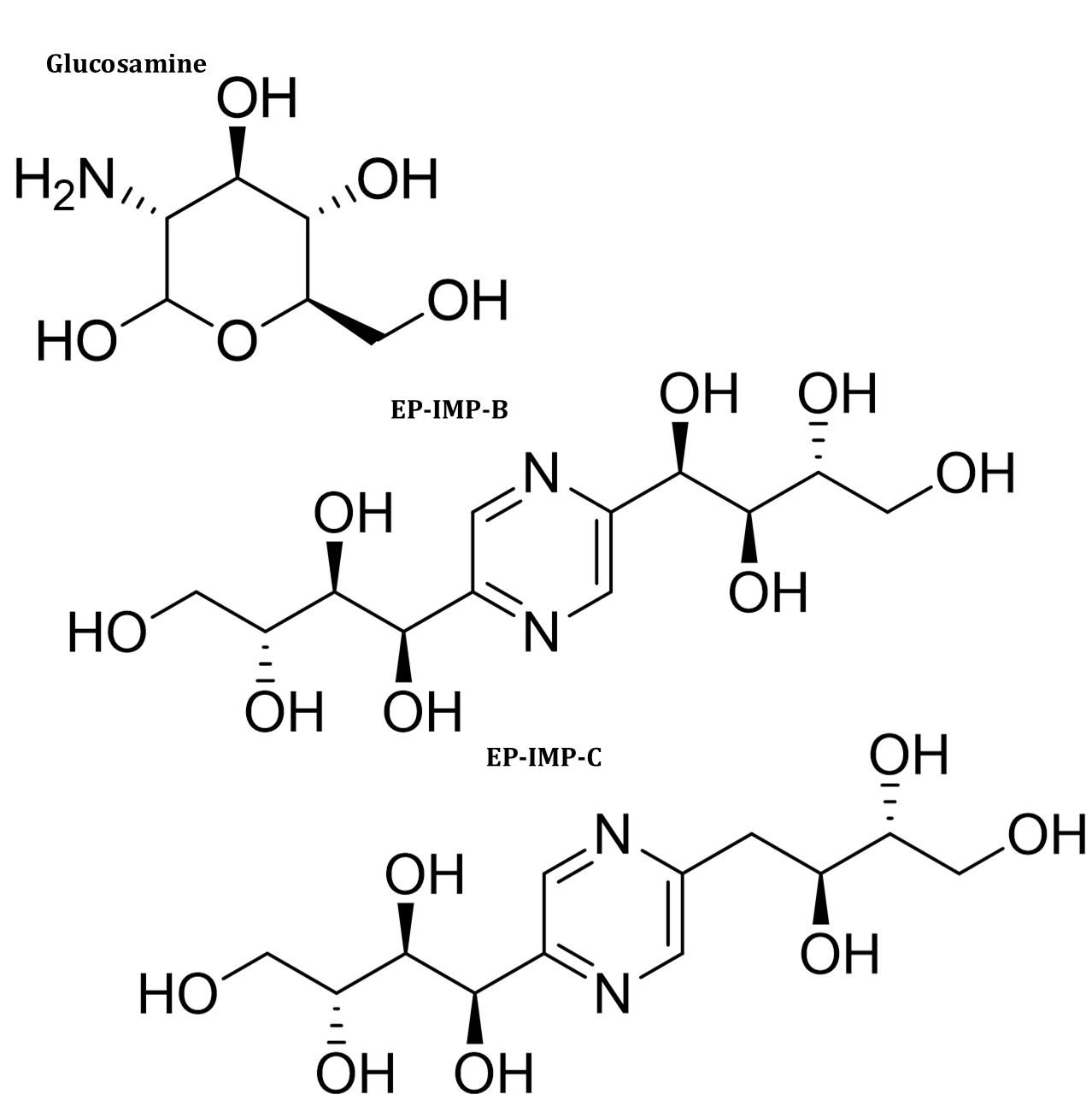
Glucosamine STD-3416-24-8;29031-19-4(Sulphate Salt);66-84-2(HCl Salt);1296149-08-0(Potassium Chloride (1:X:X));216699-44-4(Potassium Chloride (2:1:2)): IMP-B-13185-73-4: IMP-C-17460-13-8
Molecular Formula
Glucosamine STD-C6H13NO5: IMP-B-C12H20N2O8: IMP-C-C12H20N2O7
Molecular Weight
Glucosamine STD-179.17: IMP-B-320.30: IMP-C-304.30
Synonym

Glucosamine STD-(3R,4R,5S,6R)-3-amino-6-(hydroxymethyl)oxane-2,4,5-triol; D-Glucosamine; 2-Amino-2-deoxy-D-glucose; 2-Deoxy-2-amino-D-glucose; (3R,4R,5S)-3-Amino-6-(hydroxymethyl)oxane-2,4,5-triol; 2-Amino-2-deoxy-glucose Chitosamine;D-(+)-Glucosamine; Chitosamine (USP)

Glucosamine EP-Impurity-B-(1R,2S,3R)-1-[5-[(1R,2S,3R)-1,2,3,4-tetrahydroxybutyl]pyrazin-2-yl]butane-1,2,3,4-tetrol; (1R,2S,3R,1′R,2′S,3′R)-1,1′-pyrazine-2,5-diyldibutane-1,2,3,4-tetrol(1R,1 R,2S,2 S,3R,3 R)-1,1 -(2,5-Pyrazinediyl)bis-1,2,3,4-butanetetrol; Fructosazine

Glucosamine EP-Impurity-C-(1R,2S,3R)-1-[5-[(2S,3R)-2,3,4-trihydroxybutyl]pyrazin-2-yl]butane-1,2,3,4-tetrol; 2,5-Deoxyfructosazine; NSC 270912; (1R,2S,3R)-1-[5-[(2S,3R)-2,3,4-Trihydroxybutyl]-2-pyrazinyl]-1,2,3,4-butanetetrol;(1R,2S,3R)-1-[5-[(2S,3R)-2,3,4-trihydroxybutyl]pyrazin-2-yl]butane-1,2,3,4-tetrol; Deoxyfructosazine

slide.1