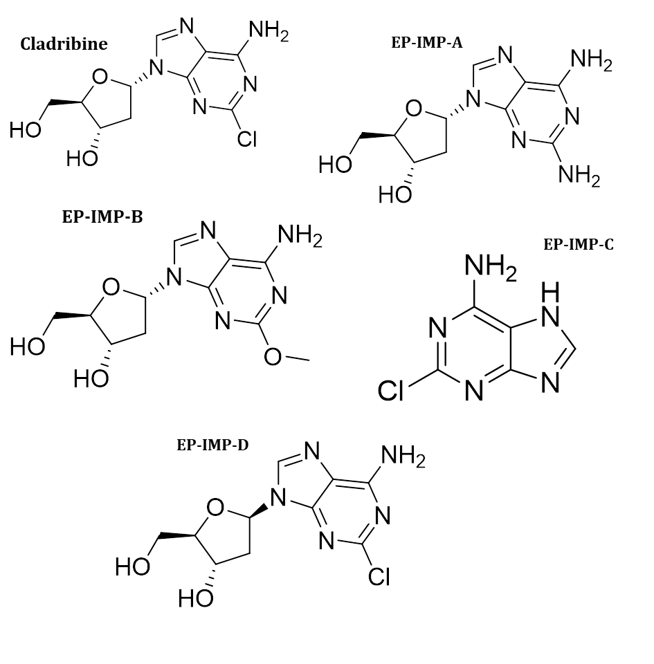
Category
CAS Number
Cladribine STD- 4291-63-8 ; IMP-A - 4546-70-7 ; IMP-B- 24757-70-8; IMP-C- 1839-18-5 ; IMP- D- 5542-92-7 ;
Molecular Formula
Cladribine STD- C10H12ClN5O3 ; IMP-A - C10H14N6O3 ; IMP-B- C11H15N5O4 ; IMP-C- C5H4ClN5 ; IMP- D- C10H12ClN5O3;
Molecular Weight
Cladribine STD- 285.7 g/mol ; IMP-A - 266.3 g/mol ; IMP-B- 281.3 g/mol; IMP-C- 169.57 g/mol ; IMP- D- 285.7 g/mol ;
Synonym

Cladribine - 2-Chloro-9-(2-deoxy-beta-d-erythro-pentofuranosyl)-9H-purin-6-amine ; 2-Chloro-2′-deoxyadenosine (as per USP);

Cladribine EP Impurity A -  9-(2-Deoxy-β-d-erythro-pentofuranosyl)-9H-purin-2,6-diamine ; (2R,3S,5R)-5-(2,6-Diamino-9H-purin-9-yl)-2-(hydroxymethyl)tetrahydrofuran-3-ol; 2-Amino-2'-deoxy-adenosine; 2-Amino-2'-desoxyadenosine; 2,6-Diamino-9-(2-deoxy-β-D-erythro-pentofuranosyl)-9H-purine; 2,6-Diaminopurine-2'-deoxyriboside (USP);

Cladribine EP Impurity B -  2-Methoxy-6-amino-9-(2-deoxy-β-D-erythro-pentofuranosyl)purine; 9-(2-Deoxy-β-D-ribofuranosyl)-2-methoxyadenine; (2R,3S,5R)-5-(6-Amino-2-methoxy-9H-purin-9-yl)-2-(hydroxymethyl)tetrahydrofuran-3-ol; 2-Methoxy-2'-deoxyadenosine; Cladribine Related Compound A (USP); 9-(2-Deoxy-β-D-erythro-pentofuranosyl)-2-methoxy-9H-purin-6-amine;

Cladribine EP Impurity C -  2-Chloro-9H-purin-6-amine; 2-Chloro-1H-purin-6-amine; 6-Amino-2-chloro-9H-purine; 6-Amino-2-chloropurine; 2-Chloro-7H-purin-6-amine; 2-Chloro-6-aminopurine; 6-Amino-2-chloropurine; 2-Chloroadenine (USP);

Cladribine EP Impurity D -  2-Chloro-9-(2-deoxy-α-d-erythro-pentofuranosyl)-9H-purin-6-amine (as per EP) ; (2R,3S,5S)-5-(6-Amino-2-chloro-9H-purin-9-yl)-2-(hydroxymethyl)tetrahydrofuran-3-ol; 1'-epi-Cladribine; 2-Chloro-α-D-2'-deoxyadenosine

Slide_1